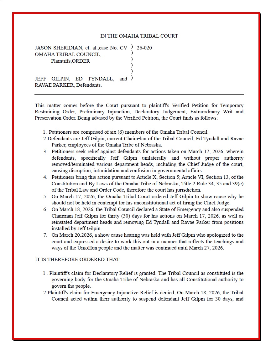
Omaha Tribal Court’s March 23, 2026 Order

       The Omaha Tribal Council is sharing the Omaha Tribal Court’s March 23, 2026, Order to provide clarity regarding the unlawful actions taken on March 17, 2026, and the resulting State of Emergency. In that Order, the Court declared that the Tribal Council, as presently constituted, is the governing body of the Omaha Tribe of Nebraska and holds the constitutional authority to govern the people. Jeff Gilpin remains under suspension and remains the subject of ongoing contempt proceedings in the Omaha Tribal Court. Any continued effort by him to claim authority on behalf of the Tribal government is unauthorized and should not be relied upon.