Skip to the content
Omaha Tribe of Nebraska
  • Omaha Tribe Menu
    • Businesses
      • Blackbird Bend Casino
      • C-Store
      • Lucky 77 Casino
      • Pa Hé Mart & Cafe
      • Quick Current
    • Departments
      • Credit and Loan Program
      • Domestic Violence Program
      • Education Program
      • Emergency Management
      • Employment Rights Office
      • Enrollment Office
      • Environmental Protection
      • Finance
      • Food Distribution Program
      • Head Start & Early Head Start
      • Human Resources
      • Information Technology (IT)
      • Law Enforcement Services
      • Mark of Honor Youth Shelter
      • Planning
      • Realty
      • Roads
      • TANF/ General Assistance
      • Tribal Historic Preservation Office
      • WIC Program
    • Dancing For Peace: Omaha Culture
    • ONFRC Programs
    • OTN Constitution
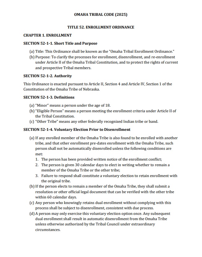
      • Approved Title 52 Enrollment Ordinance
      • Chapter 51 – Cannabis Control Code 7.9
      • Meeting Minutes
      • Omaha Tribe Resolutions
      • Tribal Codes
    • Wildlife & Parks
  • Conservation or Farm Plan Bids
  • Enrollment
  • Careers
  • News
    • Current Tribal Council
    • Upcoming Events
    • Past Events
    • Staff Recognition
Employee login

Approved Title 52 Enrollment Ordinance

  • Facebook
497 Main Street, PO BOX 368,
Macy, Nebraska 68039

(402) 837-5391